Year: 2018 Language: english Author: Boskalis team Genre: Documentation Publisher: Boskalis Format: PDF Quality: eBook Pages count: over 1000 Description: The scope of the subject project is to provide to the Boskalis Offshore Fleet Management a new and harmonised Fleet Management System (FMS). This FMS has been the product of preparation within 2015 and active compilation within 2016. The purpose of this new FMS is to allow the vessels within BOFM to work with a uniform system that will allow consolidation of the various Safety Management Systems that have been available within the Offshore Energy Division. This revision is released on 1st August 2016 and it includes 2 subsequent revisions which were completed in November 2016. It will be implemented ashore and onboard after: - Providing sufficient training to the crew and shore personnel - A roll out session onboard the vessel with ism/qhse support. It is divided in two volumes: 1. Main Procedures 2. Additional Supporting Documents The main procedures volume contains the main documents that compose the FMS, while the additional supporting documents includes mainly forms and other instructions. Additional info: Multiple information: Checklist, procedures, risk management and more. Included 2016 edition and revision 2018
You cannot post new topics in this forum You cannot reply to topics in this forum You cannot edit your posts in this forum You cannot delete your posts in this forum You cannot vote in polls in this forum You cannot attach files in this forum You cannot download files in this forum
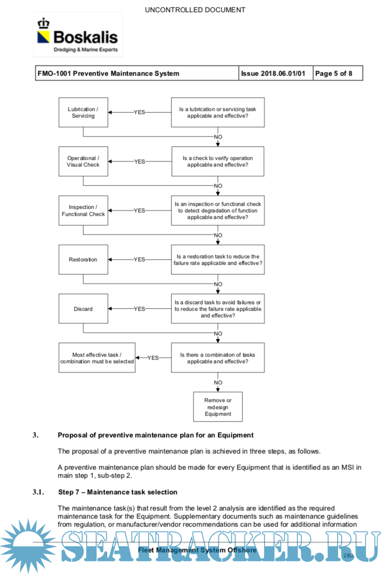
Boskalis Fleet Management System
Language: english
Author: Boskalis team
Genre: Documentation
Publisher: Boskalis
Format: PDF
Quality: eBook
Pages count: over 1000
Description: The scope of the subject project is to provide to the Boskalis Offshore Fleet Management a new and harmonised Fleet Management System (FMS). This FMS has been the product of preparation within 2015 and active compilation within 2016.
The purpose of this new FMS is to allow the vessels within BOFM to work with a uniform system that will allow consolidation of the various Safety Management Systems that have been available within the Offshore Energy Division.
This revision is released on 1st August 2016 and it includes 2 subsequent revisions which were completed in November 2016. It will be implemented ashore and onboard after:
- Providing sufficient training to the crew and shore personnel
- A roll out session onboard the vessel with ism/qhse support.
It is divided in two volumes: 1. Main Procedures
2. Additional Supporting Documents
The main procedures volume contains the main documents that compose the FMS, while the additional supporting documents includes mainly forms and other instructions.
Additional info: Multiple information: Checklist, procedures, risk management and more. Included 2016 edition and revision 2018
Contents
Screenshots
Manual compañía BOSKALIS
Download [26 KB]
Share
Share
Share
Share